一體化V錐式流量計
介紹
V錐流量計又稱內錐流量計、V錐、錐形流量計,是一種具有專利技術的新型差壓流量計,和其它類型的差壓流量計的基本原理相同,都是基于密封管道中的能量守恒原理,SL系列V錐流量計的獨特設計,擴大了流量測量范圍,并避免了傳統差壓流量計的一些局限性,工作性能更優。SL系列V錐流量計是在管道中心懸掛一個錐形截流件,錐形件阻礙介質流動,重塑流速曲線,測量介質包括水、蒸汽、空氣、天然氣、氮氣、焦爐煤氣和有機氣體等。介質條件可從深低溫到超臨界狀態。工作溫度最高450℃,最大壓力25Mpa,可測量最高雷諾數為5*106.最低雷諾數為8*103甚至更低。產生滿刻度差壓信號從最低小于0.1 千帕到最高幾十千帕。
工作原理
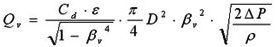
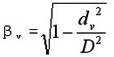
SL系列V錐流量計是一種差壓流量儀表,迄今為止以差壓原理設計的流量儀表已經有一百多年的應用歷史了。差壓原理是基于密封管道中的能量轉換原理,也就是說對穩定流體,流量與管道中介質流速的平方根成正比。當介質接近錐體時,其壓力為P1.在介質通過錐體的截流區時,速度增大,壓力降低為P2.P1和P2都通過錐形流量計的取壓口引到差壓變送器上,當流速發生變化時,錐形流量計的兩個取壓口之間的差壓值會增大或縮小。
特點
流量計精度:±0.5%、±1.0%、±1.5%系統精度須參照應用條件及二次表的精度。
重復性好:優于±0.1%
量程比寬:正常情況下為10:1.若有必要也可加大。
直管段要求低:流量計前0~3D 直管段、后0~1D 直管段即可保證測量精度。實驗證明,V錐流量計可以接近單彎管或不同平面的雙彎管而對精度影響很小。
長期穩定性好:錐體的外形設計保證流體在流經錐體時是一種漸變的過程,無突變,β值可保持長期不變,儀表可長期使用不需標定。
信號穩定:所有差壓流量計都會有“信號波動”,也就是說即使流體非常穩定,通過一次節流元件產生的信號也會有波動。對孔板而言,在節流件后形成的旋渦較長,這些長的旋渦會產生高幅、低頻波動信號,這些信號會對差壓表的讀數造成干擾。而錐形流量計會在其下游形成小旋渦,產生低幅、高頻波動信號。
壓損 ?。河捎跊]有突出的擋板,因此錐形流量計的永久壓力損失比孔板低3/4.
無滯留死區:錐體的“吹掃式”設計不存在死區,因此在錐體上不會堆積流體碎片、粘渣或雜質。
混合器作用:V 錐流量計的下游所產生的旋渦是短旋渦,可在下游將介質混合,因此,目前V錐形流量計在作為流量計工作的同時,還可在很多場合用做靜態攪拌器,可迅速而充分的將介質攪拌均勻。
應用
介 質:煤氣、天然氣(包括含濕度5%以下)、各種碳氫化合物(包括含濕的HC氣體)、各種稀有氣體(氫、氦、氬、氧、氮等)、氯氣、濕的氯化物氣體、空氣(包括含水、含SiO2粒子以及含其他懸浮物的空氣)、煙道氣、飽和蒸汽(含汽、水兩相流)、過熱蒸汽、水等。
條 件:從深冷到超臨界狀態,最高溫度達450℃,最大壓力25Mpa。
計 算:每一個錐形流量計都根據流體的性質、壓力和溫度用專門的軟件進行計算。用戶可根據自己的應用條件(所測介質的組份、溫度、壓力、管徑、最大流量、常用流量、最小流量、準許最大壓力損失)選擇β值。
維 護:錐形流量計免維護,不需要定期維護和檢定。
原理圖
| ![]() |

產品選型
型 號 | 說 明 | |||||
SLLV | 錐形流量計 | |||||
| 代號 | 口徑(mm) | ||||
| 15~3000 | DN15~DN3000mm | ||||
|
| 各部件材料材質 | ||||
| 代碼 | 錐體 | 鋼管 | 法蘭 | ||
| A | SS304 | 20# | 20# | ||
| B | SS304 | 15CrMo | 15CrMo | ||
| C | SS304 | SS304 | 20# | ||
| D | SS304 | SS304 | SS304 | ||
| E | SS316L | SS304 | SS304 | ||
| G | SS316L | SS316L | SS316L | ||
| # | 其它材質 | ||||
| 代號 | 介質 | ||||
| 1 | 液體 | ||||
| 2 | 氣體 | ||||
| 3 | 蒸汽 | ||||
| 4 | 高溫介質 | ||||
| 代號 | 補償形式 | ||||
| N | 不帶壓力、溫度補償 | ||||
| Q | 帶壓力、溫度補償輸出 | ||||
| 代號 | 連接形式 | ||||
| L | 螺紋連接(適用于小口徑) | ||||
| W | 法蘭連接 | ||||
| 代號 | 壓力等級 | ||||
| 0 | 0.25MPa | ||||
| 1 | 0.6 MPa | ||||
| 2 | 1.0 MPa | ||||
| 3 | 1.6 MPa | ||||
| 4 | 2.5 MPa | ||||
| 5 | 4.0 MPa | ||||
| 6 | 6.3 MPa | ||||
訂貨須知
訂貨時請詳細提供以下數據:
(1)被測介質
(2)最大、常用、最小流量。
(3)工作壓力、工作溫度 、最高壓力、最高溫度
(4)介質密度、粘度
(5)管道材質、內徑、外徑
(6)現場管道敷設情況和局部阻力件形式。
一體化V錐流量計優點
SL系列V錐流量計在進行流量計算時所采用的計算公式同其他差壓流量儀表相同,但其截流元件的獨特設計,迫使管道中心的介質繞著錐體流動,與其他差壓流量計相比這樣有很多優點。我們可以借助理想狀態流速曲線分布圖來理解錐形流量計的性能。
管道中的流體沒有受到任何干擾和阻礙,即是我們所說的理想流態,他的流速分布均勻,靠近管壁的流速幾乎為零,管道中心的流速達到最大,靠近管壁的流速幾乎為零,是由于管壁對介質的摩擦力造成的。
由于錐體懸掛在管線中心,他直接同流體的高速區接觸,迫使高速區的流體同近管壁低速區的流體相混合從而使流速均勻化。所以即使流速很低,錐形流量計仍能使流體與管道中心的最高流速連續作用產生正確差壓。
現實中,流速很難分布均勻,管道上的任何變化都可能對流體造成影響,如:灣頭、閥門、縮徑、擴徑、泵、三通等等,而錐形流量計利用錐體對上游的流速分布曲線重新進行塑造,即使在極為惡劣的情況下,仍能保證測量精度。
下一篇:沒有了!
相關推薦
- 平衡孔板流量計哪家好
- 限流孔板技術協議
- 限流孔板進出口形狀
- 限流孔板產品圖
- 限流孔板分類及選型要點
- 雙向畢托巴流量計
- 【限流孔板】常用取壓方式
- 限流孔板在水泵出口的作用
- 限流孔板價格,限流孔板的怎么選型?
- 限流孔板是什么,限流孔板運用什么原理?
- 威力阿牛巴巴類流量計幾大進口品牌
- 平衡流量計是否可用于貿易結算流量測量
- 限流孔板符號
- 一體化巴類流量計工作原理及安裝方法
- 插入式巴類流量計都有哪些及廠家?
- 巴類流量計前后直管段要求和取壓方式介紹
- 插入式巴類流量計怎樣選差壓傳感器
- 在線巴類流量計說明書
- 一體化巴類流量計安裝標準
- 插入式巴類流量計在安裝管道上插入前操作
- 有哪些廠家做威力巴類流量計
- 插入式一體化巴類流量計起源由來
- 巴類流量計如何帶反吹掃裝置
- 巴類流量計之間區別方案






